
Healthspan reflects the cumulative benefits gained through repeated adaptation to stressors throughout your lifespan.
While we live in a human-centric world, we’re not that unique. Like environments, communities, cells, microbes, or other organisms we are complex adaptive systems. We adapt to challenge we face and structural barriers around us.
Adaptability is arguably one of the most essential qualities influencing the health and longevity of living organisms. It represents the ability to respond effectively—and ideally, improve—in the face of diverse challenges, minor or major.
As society grows increasingly sedentary and chronic diseases become ever more prevalent, we face a pressing question: how can we retain and enhance our adaptability?
In this article, I’ll first introduce key concepts to illustrate what adaptability entails. I’ll then outline general principles related to measuring adaptability. Ultimately, adaptability should be recognized as a foundational element when identifying meaningful biomarkers of health.
Principles
SAID Principle
In one of my kinesiology 101 courses back in the day, I first encountered the SAID principle: Specific Adaptations to Imposed Demands. The question posed was how effectively long-term endurance cycling training translates to improvements in a running-based VO2max test (technically VO2peak, but I’ll use them interchangeably). The short answer: your running VO2max will indeed improve, but it would improve even more if tested pre- and post-training with a running-specific protocol. Simply put, your physiology adapts most specifically to the demands you're directly targeting.
Later, in medical school, I observed a significant shift in perspective. The nuanced distinctions of exercise type, modality, duration, intensity, and other factors were often simplified and lumped together as merely “exercise.” While any exercise is undoubtedly better than none, this generalization neglects specificity and leaves clinicians with few precise metrics to evaluate efficacy. Consequently, it is uncommon for physicians to prescribe detailed exercise regimens, and even less common for them to help patients understand if their efforts yield measurable results.
This gap highlights a key disconnect between the medical and fitness communities, contributing to a growing divergence between medicine and health.
So what do you do with these anecdotal stories about the SAID principle?
If you are about to embark on a new lifestyle or therapeutic intervention, remember that your body responds very specifically to what you impose on it. A drug targeting a single protein will induce changes related specifically to that protein’s function (assuming no off-target effects). A ketogenic diet will lead to physiological shifts directly tied to reduced carbohydrate stores and elevated blood ketones, causing water loss and changing the fuel sources used by your heart, brain, and muscles.
Another practical consideration is having a clear "north star" to evaluate efficacy. For endurance training, metrics like sports performance times and VO2max tests clearly indicate whether a training protocol is effective at improving fitness and health. In medicine, such clear indicators for diet or exercise effectiveness are rare, leading practitioners to default to metrics that merely demonstrate the absence of disease.
This could perhaps be a whole post if you find it interesting.
Early Principle
Have you ever tried to learn another language? Were you 4 or 40? Which was easier? How about riding a bike?
It's commonly understood that learning a new skill is easier and more enduring the earlier in life you learn it. This advantage partly stems from factors like reduced anxiety during childhood and implicit learning, as opposed to consciously applying memorized rules like many adults do. However, another widely accepted explanation is the heightened neuroplasticity present in childhood and early adulthood. You could just as easily call this phenomenon neuroadaptability, highlighting that your brain adapts more readily when it remains highly malleable.
The practical takeaway here is simple: if you're contemplating taking on a new challenge to improve yourself, start as soon as possible. The earlier you begin, the greater the impact of your efforts. Additionally, starting early likely influences the maximum threshold of skill or health status you can maintain throughout your later years (see next section).
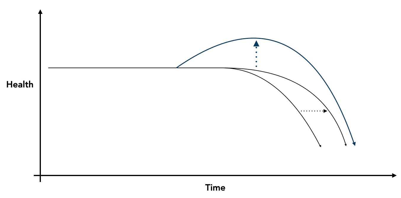
Ceiling Effects
You’re only as capable as your maximum capacity—your "ceiling." Therefore, it makes sense to raise this ceiling as high as possible in any domain, with health perhaps being the most vital. Although you can still become fitter and healthier even later in life, it becomes progressively more difficult due to the SAID and Early principles discussed above.

Raising your health ceiling can shift you from absence of disease to thriving.
The traditional lifespan-healthspan curve demonstrates this ceiling effect clearly—the goal of existing metrics typically centers on remaining disease-free for as long as possible.
However, it is possible that your ceiling can be raised, further protecting you from health decline and even enhancing your overall health. For example, lifelong exercise is known to be a critical countermeasure against age-related fitness decline (Valenzuela et al 2020). The earlier you raise the ceiling, the stronger your defense against decline—“healthspan.”
Additionally, cognitive adaptability—such as learning a new language late in life, engaging in activities like chess, or even regular socialization—can both defend against disease and actively improve health.
While a ceiling determines your maximum capacity, actively fostering adaptability can help raise this ceiling even further.
Rest & Work
Doesn’t more work equal more productivity? Not necessarily—there are limits.
For beneficial adaptations to occur, you need both a potent stimulus and adequate rest periods for repair, renewal, and recovery. I resonate with Peter Attia’s observation that most people are undertrained, considering fewer than a quarter meet the recommended USPTF physical activity goals for both cardio and resistance training. Nonetheless, gradually ramping up intensity and ensuring sufficient rest are essential for achieving optimal adaptive benefits.
An Interesting Application to Immunotherapy
I remember reading a fascinating paper (during my PhD, peak science twitter era) demonstrating that immunotherapy could be made more effective at treating cancer by allowing cells periodic rest. A major issue in CAR-T cell immunotherapy is T-cell exhaustion. Evan Weber, from the Crystal Mackall lab at Stanford, characterized the transcriptome, epigenome, and functional status of CAR-T cells. They demonstrated that strategically providing transient rest periods could reprogram the epigenome of these cells, ultimately prolonging their anti-tumor effects in living animals.
From cellular to organismal levels, rest can indeed make you more effective.
Applied Adaptability
Whether applied to life, business, fitness, medicine, or elsewhere, this phrase rings true: "The best predictor of your ability to do something is having previously done it." Although you can't have done everything before, there are strategies to assess your capacity. Measuring adaptability—improvements in capacity—can be especially valuable when aiming to improve in any endeavor.
Most biological tests today rely on static measures, usually blood draws taken at rest from large populations. However, certain tests aim to reveal our body’s true capacities through stress tests, assessing responses to (patho)physiological challenges.
Of course, VO2max testing exemplifies this concept. By pushing your body to maximal exercise, you determine how effectively it utilizes oxygen. As your fitness improves through regular exercise, the stress test becomes relatively easier, reflecting an increase in your capacity.
Another interesting example is how the body responds to repeated cold pressor tasks. One study aimed to determine if dunking your bare feet in ice became less stressful with repetition. Over a series of five cold pressor tasks, subjects gradually experienced reduced pain, a lower heart rate response, diminished pupillary dilation, and notable changes in alpha and beta frequency bands as measured by EEG. Generally, the same stressor became less stressful and less painful over time.
If you want difficult things to become easier, embrace repeated stressors. Adaptability is both essential for and indicative of health. Continuous improvement and growth serve as powerful defenses against illness.
Simply measuring EEG, heart rate, oxygen consumption, or any single metric alone provides limited insight—these are static biomarkers. Future health assessments will increasingly focus on identifying responsive, dynamic markers indicative of physiological adaptability.
Source: VO Health CEO Brooks Leitner's Substack: Read More Here

Written by
Brooks Leitner, MD PhD
Reading Time
12min


